0515-88079001
13270079001
0515-88079001
jssbrz@foxmail.com
首页
网站首页
关于我们
公司简介
公司资质
发展历程
公开文件
认证范围
服务范围
体系认证
其他认证
证书模板
管理体系
其他证书
认证规则
认证标准
证书查询
查询端口一
查询端口二
查询端口三
通知公告
证书状态公告
其他公告
人才招聘
联系我们
证书状态公告
首页
>
通知公告
>
证书状态公告
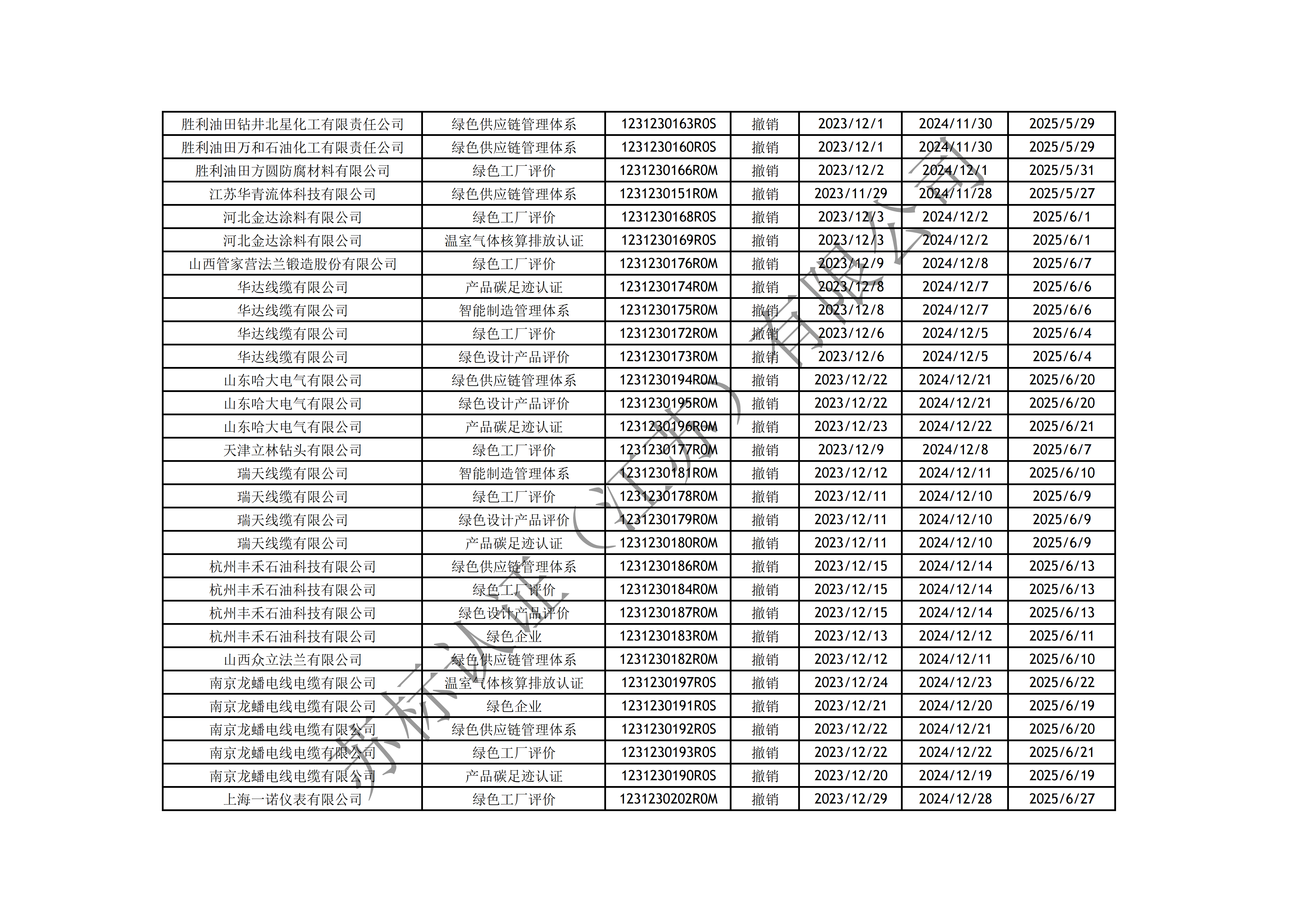
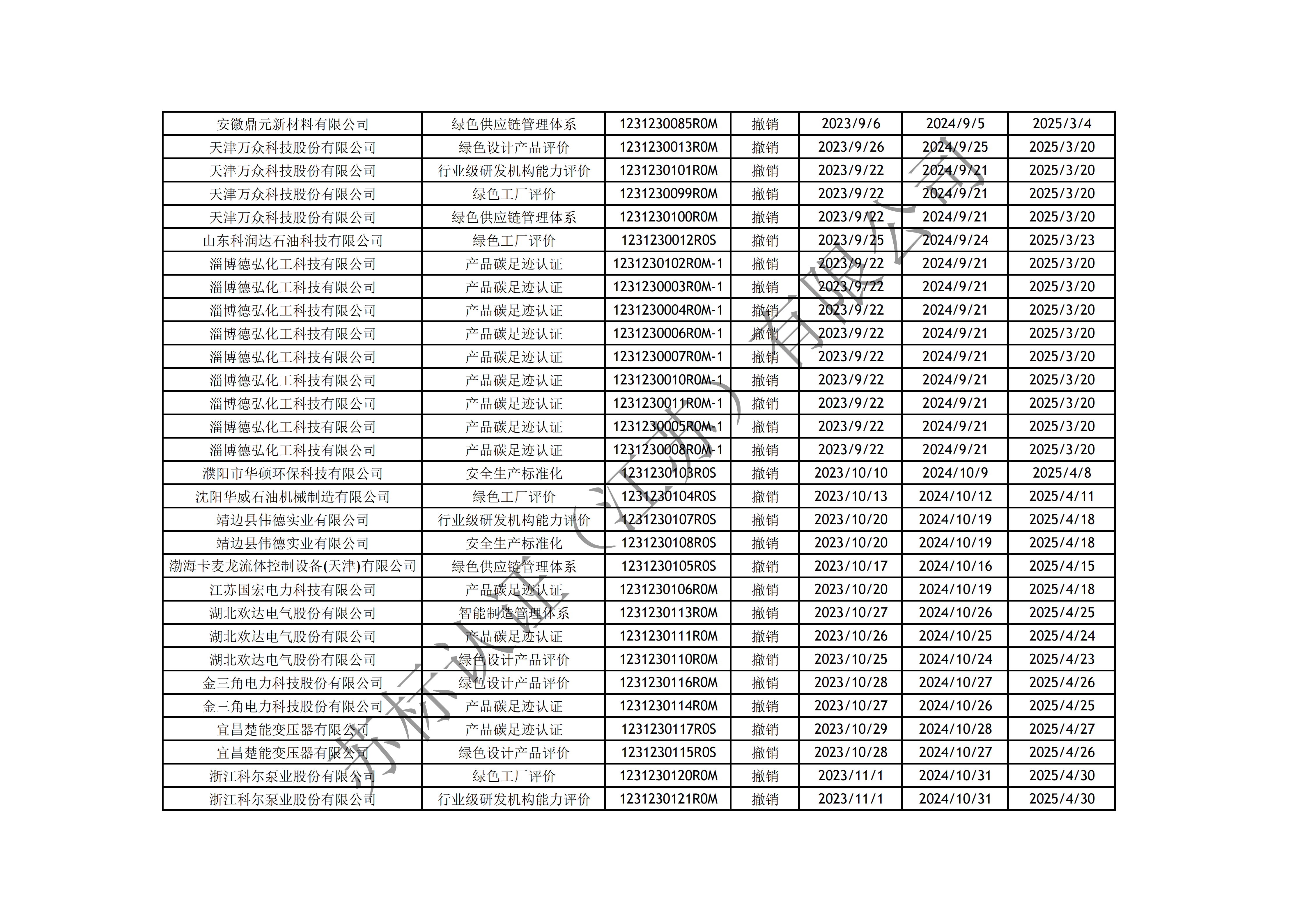
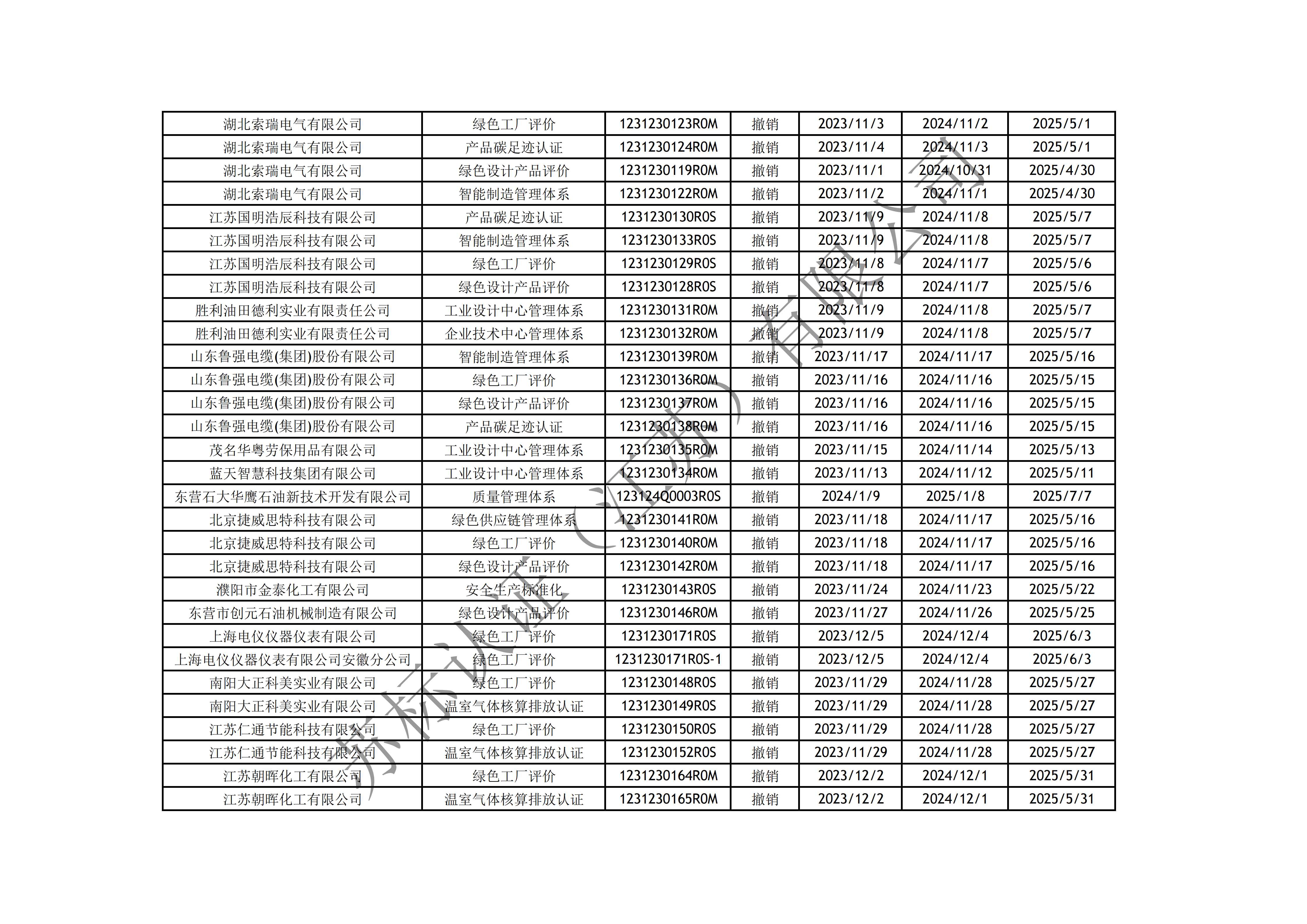
证书撤销一览表
2025-10-31 16:08:54
关于暂停淄博鲁峰消防器材有限公司认证证书的通知
关于撤销宁波康明环保科技有限公司认证证书的通知